16 年
手机商铺
公司新闻/正文
1318 人阅读发布时间:2024-12-04 13:50
作为整个ELISA实验的最后一步,检测结果的计算对于整个实验十分重要。欣博盛生物为您整理了ELISA数据处理相关的知识,希望对您的科研有所帮助!
ELISA结果处理流程
以夹心法ELISA的数据处理为例:
1. ELISA的样本通常要设置复孔进行检测,这样才能为结果的统计验证提供足够的数据。分别计算标准品、实验组样本的吸光度的平均值。复孔检测结果的变异系数(CV)不应超出20%。
2. 建立标准曲线。以标准品浓度作横坐标、OD值作纵坐标,拟合曲线。(各类ELISA处理软件与Excel均可提供曲线拟合选项。)下图展示了一条具有代表性的标准曲线,数据来自QuantiCyto® Human MIF ELISA kit(EHC086).

注:本图仅供参考,应以同次试验标准品所绘标准曲线计算标本中人MIF的含量。
3. 根据拟合的标准曲线,通过待测样品的OD值计算出样本的浓度。若样品经过稀释,须乘以相应的稀释倍数。
4. 对于OD值落在标准曲线范围外的样品,为获得准确的结果,需排查可能存在的问题。
ELISA标准曲线拟合方法
选择正确的曲线拟合方法对于获取准确的ELISA实验结果至关重要。面对众多的拟合选项,研究人员需要根据实验的具体情况和标准曲线的特性来挑选最合适的模型。
以下为几种常见的ELISA拟合方式:
1. 线性回归
线性回归适用于分析在较小浓度范围内数据点与浓度之间呈现线性关系的实验数据。它通过最小二乘法找到最佳拟合直线。在酶联免疫吸附测定(ELISA)数据分析中,当实验数据的线性关系非常显著时,线性回归通常能够提供较高的R²值,R²值是衡量模型拟合优度的一个指标,其值越接近1,表示模型拟合效果越好。如果数据的线性拟合效果不佳,可能需要考虑使用其他类型的曲线拟合方法,例如二次曲线或logistic曲线(四参数模型),这些方法适用于数据点与浓度之间存在非线性关系的场合。
Linear Fit::![]()
2. 二次多项式回归
在ELISA数据处理中,二次多项式回归是处理非线性数据的有效方法,特别适用于那些在特定浓度范围内呈现轻微弯曲的标准曲线。在许多ELISA实验中,标准曲线的拟合近似于二次多项式的升段或者降段。因此,使用二次多项式回归时,应确保所选的取值范围能够准确地反映这些曲线段的特性。
Quadratic Fit: ![]()
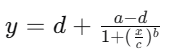
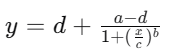
3. 四参数对数曲线拟合
四参数对数曲线拟合适用于大多数ELISA实验,能够很好地描述S形标准曲线。它要求X值不能小于0(因为指数函数的底数必须是正实数)。四参数对数曲线拟合在很多情况下都能很好地拟合ELISA的反应曲线,这使得它成为ELISA数据分析中应用最广的模型之一。
Logistic Model: 
ELISA 数据处理软件使用(ELISA Calc为例)
ELISA Calc是一款专门用于处理ELISA数据的软件。它支持多种回归和拟合模型,如直线回归、二次曲线回归以及Logistic曲线拟合等 。您可以通过输入标准品的浓度和对应的吸光度来绘制标准曲线,并据此计算样品的浓度。欣博盛生物在此给各位老师展示使用ELISA Calc软件的完整步骤:
1. 获取实验数据与数据的初步处理(此处仅包含标曲数据):
本次实验做复孔,如实验作复孔、三孔,需要先进行平均值计算(如表中标红部分)。

注:本次实验中所用试剂盒为QuantiCyto® Mouse TNF-α ELISA kit(EMC102a),试剂盒具体参数信息如下:
|
货号 |
产品名称 |
灵敏度 |
检测范围 |
|
EMC102a |
QuantiCyto® Mouse TNF-α ELISA kit(小鼠肿瘤坏死因子-α) |
15.6pg/ml |
31.25-2000pg/ml |
2. 软件下载
此处数据处理软件为ELISA Calc,可在网络上自行免费下载。

3. 输入OD值与标准品浓度
(1)打开ELISA Calc软件后,界面如下所示:

(2)在表格区域依次输入或点击左下方“粘贴(P)”直接粘贴标准曲线的数据。在X(浓度/剂量)这一列表格中输入标准品浓度,在Y(反应值)列依次输入X列浓度所对应的OD值;

4. 选择拟合曲线的类型并进行计算
(1)线性回归
Linear Fit::![]()
以线性回归为例,点击左上角“回归、拟合模型(M)”选择“直线回归”,选择是否扣除本底,完成后点击 “回归、拟合(R)”按钮,自动生成拟合曲线。

点击后,ELISA Calc展示界面如下:

(2)二次多项式回归
Quadratic Fit: ![]()
点击左上角“回归、拟合模型(M)”选择“二次曲线回归”,选择是否扣除本底,完成设置后点击 “回归、拟合(R)”按钮,自动生成拟合曲线。
(3)四参数对数曲线拟合
Logistic Model: 
点击左上角“回归、拟合模型(M)”选择“logistic曲线拟合2(四参数)”,选择是否扣除本底,完成设置后点击 “回归、拟合(R)”按钮,自动生成拟合曲线。
5. 查看标准曲线拟合后的信息
点击“回归方程(R)”按钮后,您将查看到右侧展示的回归分析结果。在这些结果中,R²值用于衡量模型对数据的拟合程度。理想情况下,R²值越接近1,表示模型对数据的解释能力越强,拟合效果越好。如果观察到R²值没有达到预期的理想水平,这可能意味着当前的回归模型没有很好地捕捉到数据之间的关系,或者数据本身存在较大的变异性,可以通过检查数据是否输入有误、去除异常数值、选择其他拟合方式等方法进行排查或修正。

6. 根据标准曲线计算样本浓度
点击“由Y计算X”,在“Y值”框内输入实验所得OD值,点击“计算”,即可计算出对应的X值(浓度值);当然,ELISA Calc支持批量计算,可从Eecel或者word文档中拷贝一批Y值(OD值),点击左下角的“粘贴”按钮进行批量计算。软件会自动处理这些数据,并在输出区域展示每个OD值对应的浓度。

以上为ELISA 数据处理软件使用(ELISA Calc为例)的流程简介,该软件操作简单,极易上手,可以结合excel表格处理数据,在计算大批量数据时表现出明显的优势。
关于欣博盛生物:

欣博盛生物科技有限公司成立于2007年,是一家力耕于生命科学和生物技术领域的高新技术企业,专门从事以ELISA产品为主的生物试剂研发与销售,致力于为广大研究人员提供高品质的科研产品。
欣博盛研发生产中心拥有完整的酶联免疫检测试剂盒研发和生产平台,研发生产团队由具有近30年免疫检测行业经验的专家带领,由具有生物学、医学、药学、检验学等相关专业和研发经验的人员组成。广泛与欧美知名的抗原抗体生产公司和机构开展合作,筛选和委托定制高质量的原料,采用行业内质量控制标准来研发生产ELISA试剂盒。公司自主研发的ELISA试剂盒在国内众多重点实验室广泛使用,深受广大科研人员的好评。欣博盛品牌 ELISA试剂盒自推出以来已先后在Nature, Cell, PNAS等国际期刊中被引用。
欣博盛生物现可提供三百余种不同指标ELISA试剂盒,涵盖各类常用指标,更可提供ELISA定制与代测服务。更多详情,欢迎咨询欣博盛生物!